Mesure les flux radiatifs telluriques et solaires
Cet équipement permet la mesure des flux radiatifs tellurique (LW) ainsi que le flux radiatifs solaires (SW) direct et diffus. Ces mesures sont effectuées en continu depuis février 2007. Elles sont acquises en temps quasi-réel avec affichage sur le site web du LOA.
L’ensemble est monté sur un suiveur solaire ("sun tracker") qui permet en permanence, à la fois au pyrhéliomètre de viser le soleil et au "shadower" d’occulter le rayonnement solaire direct.

Les sources d’incertitude de mesure sont de différentes nature :
1. Réponse en cosinus du CMP22
La valeur théorique de la tension de sortie pour un éclairement sous incidence θ est :
où
est la tension de sortie pour un éclairement sous incidence normale.
Or, la tension de sortie réelle mesurée pour l’angle d’incidence θ est différent. Soit
sa valeur.
L’écart relatif
(nommé réponse en cosinus) est reporté dans le Tableau ci-dessous (il dépend également de l’azimut) :
| Angle d’incidence | Sud | Est | Nord | Ouest |
|---|---|---|---|---|
| 40° | 0.59 | 0.58 | 0.45 | 0.18 |
| 60° | 0.98 | |||
| 70° | 1.29 | 1.26 | 1.24 | 1.22 |
| 80° | 2.26 |
2. Horizontalité du CMP22 et visée correcte du soleil du CH1
Un réglage correct de ces deux paramètres est essentiel pour la qualité de la mesure.
3. Variation de la sensibilité des instruments avec la température des capteurs
4. Évolution temporelle des sensibilités
5. Précision des mesures
Toutes les précautions citées étant prises en compte, on obtient les incertitudes suivantes :
CMP22 : ∼ 5 Wm-2
CH1 : ∼ 1 Wm-2
CGR4 : ∼ 5 Wm-2
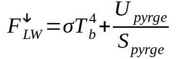
1. Flux radiatif tellurique (LW) exprimé en Wm-2.
Il est donné par la relation :2. Flux radiatif solaire direct (SWD) sous incidence normale exprimé en Wm-2.
Il est donné par la relation :3. Flux radiatif solaire diffus (SW) exprimé en Wm-2.
Il est donné par la relation :4. Flux radiatif solaire global (Wm-2) est déduit des points (2) et (3) :







